Study Guide
field 702: elementary education left paren grades K to 6 right paren
Sample Multiple-Choice Questions
Recommendation for individuals using a screenreader: please set your punctuation settings to "most."
Each multiple-choice question has four answer choices. Read each question and its answer choices carefully and choose the ONE best answer.
During the test you should try to answer all questions. Even if you are unsure of an answer, it is better to guess than not to answer a question at all. You will NOT be penalized for choosing an incorrect response.
Testlet 405: Foundations of Literacy (K–6)
Objective 0001
Understand foundations of research-based literacy instruction and assessment and apply knowledge of emergent literacy development.
1. A first-grade teacher is working with a small group of emergent readers and would like to promote their ability to identify the final consonant sound in spoken words. Which of the following student activities would best promote achievement of this goal?
- A. writing all the words they know that end in the same final sound and reading the words aloud
- B. circling the last letter of each word on a list of grade-level words and saying the letter's name aloud
- C. saying aloud the words depicted on picture cards and sorting the cards by the last sound in each word.
- D. reading a simple grade-level poem aloud and segmenting the onsets and rimes of the final word in each line
- Answer and Rationale. Enter to expand or collapse. Answer expanded
-
Correct Response: C.
To identify final consonant sounds in spoken words, the students need to be able to isolate, or segment, those sounds. In the picture sorting activity described, the teacher is having students isolate the final consonant sound of each pictured word, thereby providing the students with practice in phonemic segmentation and final sound identification. In order to sort each card accurately, the student must focus on the final sound of the word represented by the picture. The use of picture (word) sorts for developing and practicing phonemic awareness skills is a best practice with emergent readers because it promotes learning through multiple modalities. Students see the picture, say the name of the pictured word, and must listen carefully to its sounds. Then they physically sort the cards by sound categories (e.g., the last sound in the word).
Objective 0004
Apply knowledge of skills and approaches for developing comprehension and analysis of literary and informational texts.
2. Read the passage below; then answer the question that follows.
Before students begin reading an informational article about penguins, a teacher conducts a think-aloud while scanning the article. The teacher's think-aloud appears below.
The title of this article tells me that I'm going to read about penguins. I've seen cartoons about penguins, and we read the book Mr. Popper's Penguins in class. Those were funny stories, but they weren't about real penguins. I think this article is going to be about real penguins because I see photographs of real penguins. There are captions under the photographs. If I read the captions, I can probably find out the names of the penguins in the photographs. That way when I read about different kinds of penguins in the article, I'll be able to see what they look like. I also see a chart. It has drawings of 17 species of penguins. Wow! I didn't know there were so many kinds of penguins! The chart tells where each type of penguin lives. I can look at the chart while I'm reading the article.
The teacher's approach will promote students' learning primarily by:
- A. motivating students to conduct research on a topic related to penguins.
- B. promoting students' ability to analyze how graphic features relate to the article.
- C. activating students' background knowledge about types of penguins.
- D. familiarizing students with general academic and domain-specific vocabulary.
- Answer and Rationale. Enter to expand or collapse. Answer expanded
-
Correct Response: B.
The teacher's purpose for using a think-aloud strategy is to reveal to students the thought process behind completing a comprehension task. By verbalizing this thought process, the teacher demonstrates how students can use graphic features to support and supplement information provided in the text of the article. The think-aloud will promote students' ability to understand how each text feature relates to the article, as well as their ability to use the text features to support comprehension.
Testlet 406: English Language Arts and Biliteracy Skills (K–6)
Objective 0002
Apply knowledge of the development of speaking and listening skills.
3. Read the transcript of a student's oral book report below; then answer the question that follows.
What is your favorite food? If it's pizza, you should read this book. You probably know that pizza is from Italy. But did you know that kings and queens used to eat it? This book is full of interesting facts. They used to eat it with mozzarella cheese and red tomatoes just like we do now. When people from Italy came to live in the United States they missed pizza. That's why we have pizza in the United States. This book will make you hungry. It even has recipes. You can learn how to toss pizza dough in the air and spin it around.
Given the evidence presented, the student needs instructional support in which of the following oral presentation skills?
- A. engaging the audience
- B. sequencing ideas logically
- C. expressing opinions clearly
- D. using precise language
- Answer and Rationale. Enter to expand or collapse. Answer expanded
-
Correct Response: B.
The student's oral book report engages the audience by asking questions ("What is your favorite food?" "But did you know that kings and queens used to eat it?"). The student's opinions are clearly expressed ("If it's pizza, you should read this book," "This book is full of interesting facts," "This book will make you hungry"), and the student uses precise language ("mozzarella cheese," "red tomatoes," "toss," "spin"). However, the student needs instructional support with sequencing ideas logically. By re-sequencing and adding sentences, as well as by adding appropriate transitional words and phrases, the student can better organize ideas and clarify the relationships between them.
Objective 0004
Understand how to plan culturally and linguistically responsive and sustaining research-based instruction for bilingual students that effectively integrates interdependent interpretive language development and content-learning goals and expectations.
4. An elementary school bilingual education teacher in a two-way immersion program works with a group of students at the intermediate level of proficiency in one of the target languages of instruction. The teacher uses a variety of target-language mentor texts and guides students to discuss story grammar and elements of narrative writing. Which scaffolding strategy would most effectively promote the students' crafting of an original story in the target language based on their study of the mentor texts?
- A. encouraging them to create an outline of a story in a more accessible language and then translate the outline into the target language
- B. inviting them to present ideas about a story orally to the class and gather feedback from their peers in the target language prior to writing
- C. providing them with a story map graphic organizer and a bank containing relevant target-language signal words and phrases
- D. asking them to develop target-language descriptions of the story's characters and setting before they sequence a plot
- Answer and Rationale. Enter to expand or collapse. Answer expanded
-
Correct Response: C.
The teacher has facilitated students' exploration of the mentor texts with a focus on structures typically associated with a genre (i.e., the "grammar" or common meaningful elements of narrative texts). The most effective way to guide students to leverage their exploration when creating their own written products is to scaffold their production in a way that mirrors what they have seen. A story map that prompts students to gather their ideas in an organized way prior to writing along with a reference source for common target-language words that support story structure would provide the most relevant scaffold for original writing in the studied mentor-text genre.
Testlet 407: Mathematics (K–6)
Objective 0003
Apply knowledge of the mathematics curriculum and strategies for teaching counting and cardinality, numbers and operations in base ten, and of operations involving fractions and strategies for teaching these concepts to students.
5. Use the problem and student work below to answer the question that follows.
Problem
A school is planning an assembly for the last day of the school year. There are 100 fourth graders in the school. The principal has arranged the chairs in the auditorium into rows of eight. How many rows does the principal need to save to seat all the fourth graders?
Student Work
10 ÷ 8 = short blank space
12 × 8 = 96
100 − 96 = 4
The principal has to save 12 rows.
Which of the following statements is the best evaluation of the student's work?
- A. The student's answer is incorrect and the work shows a misunderstanding of how to interpret the remainder in a real-world problem.
- B. The student's answer is incorrect and the work shows a misunderstanding of how to perform the common division algorithm.
- C. The student's answer is correct and the work shows an understanding of the relationship between division and multiplication.
- D. The student's answer is correct and the work shows an understanding of how to model division problems using repeated subtraction.
- Answer and Rationale. Enter to expand or collapse. Answer expanded
-
Correct Response: A.
This problem requires the candidate to divide the total number of fourth graders by the number of chairs per row. All the fourth graders need to be seated so any remainder will require a new row of chairs. The student chose the correct operation to solve the problem by dividing 100 by 8, and correctly checked that 12 × 8, or 96, is the closest multiple of 8 to 100. However, the student's answer of 12 rows is incorrect because the remainder of 4 represents 4 fourth graders who will need chairs. The principal needs to have 12 rows of 8, plus 4 more chairs, or 13 rows in all. The student's response indicates that he or she has a misunderstanding of the meaning of the remainder in the context of this problem.
Objective 0002
Apply knowledge of operations, algebraic thinking, and college algebra and statistics and strategies for teaching these concepts to students.
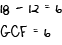
6. A student needs to find the greatest common factor of 12 and 18 to solve a word problem. Which of the following models of student work shows a valid method for finding this greatest common factor?
-
the model is a venn diagram. the left circle is labeled 12, and the right circle is labeled 18. the left circle contains the number 2. the right circle contains the number 3. the intersection contains the numbers 2 and 3. beneath the diagram is written gcf equals 2 times 2 times 3 times 3.
-
the model shows the equation 18 minus 12 equals 6. beneath the equation is written gcf equals 2 times 3.
-
the model shows the factors of the 2 numbers. the first line is 12 equals 2 times 2 times 3. the second line is 18 equals 2 times 3 times 3. the 2 and the first 3 on the second line are vertically aligned with the second 2 and the 3 on the first line. vertical arrows are drawn through the aligned numbers, pointing down to the 2 and the 3 on the next line of text, which is gcf equals 2 times 3.
-
the model shows sets of multiples of the 2 numbers. the first line is 12, 24, 36, 48, dot, dot, dot. the second line is 18, 36, 54, 72, dot, dot, dot. the 36 in each line is circled, and a line connects the 2 circles. the final line is gcf equals 36.
- Answer and Rationale. Enter to expand or collapse. Answer expanded
-
Correct Response: C.
The greatest common factor of a pair of numbers is the largest whole number value that is a factor of both numbers. One method of finding the greatest common factor is to do the prime factorization of both numbers and find the product of the prime factors that the two numbers have in common. The prime factorization of 12 is 2 × 2 × 3 and of 18 is 2 × 3 × 3. The prime factors that 12 and 18 have in common are 2 and 3 so the greatest common factor is 6.
Testlet 408: Science (K–6)
Objective 0001
Understand the interrelationships among science, technology, and society.
7. Which of the following activities is most likely to promote students' understanding of the concept of cause and effect in science?
- A. using leaves and a taxonomic key to identify the types of trees present near the school
- B. recording the time it takes for bean seeds to germinate when given different amounts of water
- C. creating cross-sectional models of the Earth with clay to illustrate the thicknesses of different layers
- D. tracking the daily high and low temperatures of two nearby cities during a three-month period
- Answer and Rationale. Enter to expand or collapse. Answer expanded
-
Correct Response: B.
A cause and effect relationship is a relationship in which one event results in the occurrence of another event. The only response option that addresses this type of relationship is the activity in which bean seeds are given different amounts of water (event 1) and students record the amount of time it takes for the seeds to germinate (event 2).
Testlet 409: Social Studies (K–6)
Objective 0003Understand major principles, concepts, and phenomena of geography, sociology, and culture and the interrelationships between people and their environment.
8. A second-grade teacher is planning to read a book to the class as a way of introducing students to the variety of geographic features on Earth's surface. Which of the following types of books is likely to be most effective in stimulating students' interest in the subject matter?
- A. a book that explains the role of plate tectonics in the formation of mountains
- B. a biography of one of the first people to reach the summit of Mount Everest
- C. a book about a migrating bird that describes how the land below changes during its journey
- D. a field guide that describes the characteristics of mountains, canyons, deserts, and waterways
- Answer and Rationale. Enter to expand or collapse. Answer expanded
-
Correct Response: C.
The book about the migrating bird would be most effective in stimulating the interest of second graders in the different geographic features of Earth's surface. The story would build students' background knowledge of the subject and their vocabulary in an engaging way. It also would help students make connections between geographic features they are familiar with and those found in other parts of the world.
Testlet 410: Arts, Health, and Physical Development (K–6)
Objective 0001
Understand historical, cultural, and societal contexts for the arts (visual arts, music, drama, dance); the interrelationships among the arts; concepts, techniques, and materials related to the arts; and how to provide students with learning opportunities that encourage them to express themselves through the arts.
9. The duties of a choreographer for a dance performance are most closely aligned to which of the following duties of a theatre director?
- A. adjusting the pace of dialogue
- B. helping actors discover their characters
- C. blocking each scene
- D. analyzing the script for meaning
- Answer and Rationale. Enter to expand or collapse. Answer expanded
-
Correct Response: C.
A choreographer serves a similar role to a theatre director in that both are the artistic leaders of their respective productions. Choreographers design the form and movements of dancers in a dance performance. The focus on visual composition and the arrangement of bodies on stage is closely aligned with a theatre director's task of blocking—positioning actors on stage for dramatic effect and to ensure that the audience has unobstructed sight lines of the actors.
Objective 0003
Understand the systems of the human body; health-related and skill-related fitness components, concepts, and practices; interrelationships between fitness and body systems; principles and practices related to personal, family, and community health and safety; and ways to provide students with knowledge and skills that will help them make sound health-related decisions.
10. Small groups of fifth-grade students will apply the steps in the decision-making model below to hypothetical health-related situations. Each group chooses a health-related issue and documents the process used to make a decision that will help resolve the issue.
Decision-Making Steps
- Define the problem/decision to be made.
- Identify important criteria for the decision and the result.
- Consider all possible options.
- Weigh the consequences of solutions against the likelihood of satisfying the criteria.
- Choose the best option.
- Evaluate and monitor the solution.
Which of the following tasks should be carried out by the students during Step 4?
- A. developing a plan for carrying out the decision and monitoring its effectiveness
- B. reviewing group member roles and responsibilities in a collaborative decision-making process
- C. determining exactly what resources will be needed to implement a decision or course of action
- D. analyzing factors that affect each option and identifying probable outcomes of decisions
- Answer and Rationale. Enter to expand or collapse. Answer expanded
-
Correct Response: D.
In this decision-making process, Step 4 involves tasks such as checking alternative options and decision choices against sound, relevant health knowledge and the goals and desired results of the decision-making task. During this step, it is appropriate for students to examine factors that are likely to affect decisions or courses of action, consider the pros and cons of different options, and compare the advantages and disadvantages of various options. In addition, students should attempt to predict potential outcomes and evaluate potential consequences of alternative decisions. Using a systematic decision-making process helps students determine an appropriate course of action and provides them with valuable practice in using decision-making skills to enhance personal health and safety.
